7. ОРГАНІЗАЦІЯ І НОРМУВАННЯ ПРАЦІ. АТЕСТАЦІЯ І РАЦІОНАЛІЗАЦІЯ РОБОЧИХ МІСЦЬ

7.1. Завдання, принципи та методи нормування праці в сільськогосподарських підприємствах
7.2. Способи вивчення затрат робочого часу трудових процесів.
7.3. Нормування праці на механізованих польових роботах.
7.4. Нормування праці на транспортних і ручних роботах.
7.5. Нормування праці в тваринництві.
7.6. Поняття, принципи і завдання наукової організації праці. Форми організації праці.
7.7. Наукова організація праці та атестація робочих місць.
7.1. Завдання, принципи та методи нормування праці в сільськогосподарських підприємствах
Під науково обґрунтованим (технічним) нормуванням розуміється
спостереження, які спеціально проводяться та направлені на вивчення прийомів
виконання робіт і встановлення науково обґрунтованих норм виробітку або норм
затрат часу на виробництво
якого-небудь продукту при дотриманні технологічної доцільності, економічної
ефективності та потрібної якості робіт.
Завдання нормування - визначення норм затрат праці на виробництво одиниці
праці чи готової продукції з урахуванням конкретних умов
господарства.
Правильно поставлене технічне нормування в сільськогосподарських
підприємствах служить
важливим засобом удосконалення організації праці та зниження її затрат у процесі виробництва. Воно
дозволяє раціоналізувати матеріальні фактори виробництва та поліпшити форми і
методи організації праці. Лише при чітко налагодженій, об’єктивній оцінці
трудових затрат працівників сільського господарства в процесі виробництва можна
дотримуватись принципу матеріальної заінтересованості.
На підприємствах агропромислового комплексу нормування праці є об’єктивною необхідністю за будь-яких організаційних форм та умов господарювання. Без визначення обсягів робіт неможливо розрахувати потребу в робочій силі та фонд оплати праці, спланувати необхідну кількість працівників за періодами робіт, визначити показники господарської діяльності. У зв’язку з цим розробка норм є відповідальним завданням.
Керівники та адміністрація підприємств зобов’язані забезпечити запровадження у встановленому чинним законодавством порядку нові прогресивні нормативи і норми часу, постійно удосконалювати організацію праці, забезпечувати широке впровадження технічно обґрунтованих норм для усіх категорій працюючих, вводити міжгалузеві та галузеві норми виробітку, часу, обслуговування, нормативи чисельності, затверджувати нові і переглядати діючі нормативи, а також нормовані завдання для робітників погодинників, систематично проводити аналіз норм і нормативів праці, створювати умови для високопродуктивної робити та підвищення продуктивності.
За час реформування в аграрному секторі
АПК, із завершенням процесу приватизації майна, землі, організацією селянських фермерських господарств, приватних та орендних колективів роль нормування праці ще більше посилюється. Все частіше об’єктом досліджень у нормуванні стає праця цілого колективу з урахуванням комплексу взаємопов’язаних робіт залежно від конкретних умов виробництва.У поєднанні з поліпшенням організації виробництва це дає можливість для створення обґрунтованої бази даних, складання бізнес- планів та внутрішньогосподарського планування, поширення передового виробничого досвіду, вдосконалення форм і систем оплати праці, а в кінцевому підсумку - забезпечення зростання ефективності сільськогосподарської праці.
У нормах праці, що встановлюються, потрібно враховувати досягнення науки і передового досвіду, раціональні режими праці та відпочинку виконавців. Крім того, норми праці повинні відповідати природноекономічним та організаційно-технологічним умовам виконання трудових процесів, а також бути об’єктивною основою побудови раціональних форм і систем оплати праці.
Нормування праці - це сукупність методів, прийомів та розрахунків за допомогою яких встановлюються обґрунтовані норми праці.
Вихідними величинами, що регламентують встановлення норм, є нормативи часу на виконання окремих елементів операцій за їх складовими: швидкість руху агрегату, ширина захвату агрегату, режим роботи устаткування та ін.
До основних принципів нормування праці, положення яких слід враховувати при визначенні норм виробітку, належить:
- технічне, економічне й психофізіологічне обґрунтування норм виробітку в умовах застосування економічно вигідної технології і раціональної організації праці та при збереженні оптимальної інтенсивності праці виконавця протягом усієї робочої зміни з урахуванням різниці продуктивності праці при входженні в роботу, в інтенсивний її період і при зниженні продуктивності внаслідок втоми;
- єдність і гнучкість при розробці норм виробітку на ідентичні роботи з урахуванням диференційованих нормоутворювальних факторів - забур’яненості поля, висоти травостою, фізичного стану ґрунту, його вологості тощо;
- диференціація норм праці залежно від природно-економічних і організаційно-технічних умов;
- прогресивність норм парці залежно від технології виробництва, новітності технічних засобів, раціональної організації праці, робочих місць, методів та прийомів праці;
- нормування допоміжних робіт і робіт обслуговуючого персоналу.
Методи нормування праці - це дослідження трудового процесу за основними його елементами та визначення способу, за допомогою якого встановлюється норма виробітку.
Існують два принципово відмінні методи нормування праці: сумарний і аналітичний (за елементами).
Сумарний - норми виробітку встановлюють експериментальним шляхом не на окремі елементи трудового процесу, а відразу на весь процес, тобто сумарно, шляхом середнього фактичного виробітку групи працівників (знаходять середньостатистичну величину). Різновидом цього методу є також визначення, яке ґрунтується на порівнянні з нормою виробітку на аналогічну роботу за технологічну роботу за технологією та технічними засобами виконання.
При сумарному методі не враховується рівень технологій і організації праці, її раціональні методи та прийоми, не розкриваються можливі резерви підвищення продуктивності праці від впровадження досконалих технічних засобів та інших факторів. Тому метод сумарного нормування праці можна застосувати на обмежене коло робіт, термінові роботи на які норм виробітку немає.
Основним методом нормування праці в сільському господарстві є аналітичний метод нормування праці за елементами. Він передбачає поділ процесу праці на окремі складові з наступним детальним вивченням методів та прийомів праці, затрат часу по кожному з них та визначенням раціональної послідовності виконання трудового процесу. Аналітичний метод має два різновиди: аналітично-експериментальний і аналітично-розрахунковий.
Аналітично-експериментальне нормування виключає проведення певних спостережень та досліджень безпосередньо при виконанні того процесу, на який встановлюється норма виробітку.
Після узагальнення, оброблення й аналізу одержаних матеріалів розраховують норми праці та виявляють недоліки в технології виробництва й організації праці, що дає змогу намітити і здійснити необхідні заходи, спрямовані на усунення цих недоліків. Проте аналітично-експериментальне нормування досить складне й трудомістке, пов’язане з великою кількістю спостережень, вимірювань і розрахунків, а все це стримує застосування його в господарствах. У господарствах ним користуються тільки для уточнення окремих та розроблення тимчасових норм, при різкій зміні умов виробництва, або при надходженні в господарство нових технічних засобів, на які немає норм у відповідних збірниках.
Цим способом нормування праці користуються здебільшого нормативні організації при розробленні типових норм і нормативів, які потім надсилаються в господарства.
Суть аналітично-розрахункового методу в тому, що норми виробітку (обслуговування) встановлюють за типовими нормативами, диференційованими за природними й організаційно-технічними умовами. При нормуванні праці таким методом використовують паспорти полів - для врахування відмінностей, властивих кожному полю. У сільському господарстві цей метод основний, бо він менш трудомісткий, ніж аналітично-експериментальний, і дає змогу при ретельному підборі нормативів встановити досить обґрунтовані норми виробітку. Проте обидва методи взаємопов’язані й доповнюють один одного.
У сільськогосподарських формуваннях широко використовують також типові норми виробітку, які розробляють науково-дослідні установи. У довідниках типові норми подаються диференційовано за групами, що відображають особливості різних природно-економічних зон. Це дозволяє спеціалістам підприємств підібрати відповідно до своїх умов достатньо обґрунтовані й точні норми виробітку для робіт за аналітичними технологіями та технічними засобами з метою дотримання принципу рівної оплати за однакову працю.
7.2. Способи вивчення затрат робочого часу трудових процесів
Для вивчення затрат робочого часу використовують три способи: хронографія (фотографію) робочого дня, хронометраж і фотохронометраж.
Хронографія (фотографія) - це спосіб вивчення використання робочого часу шляхом замірів його затрат за операціями та їх елементами в порядку послідовності їх використання з урахуванням всіх нормоутворюючих факторів протягом усього робочого дня.
Фотографію провадять з метою одержання вихідних даних для:
- удосконалення організації праці та скорочення нераціональних затрат часу;
- встановлення нормативів часу на виконання окремих елементів трудового процесу (підготовчо-заключні роботи, основну роботу, додаткову, особисті потреби та відпочинок протягом зміни);
- удосконалення організації трудового процесу
та взаємоузгодження у виконанні робіт окремими робітниками.
Фотографія робочого дня має кілька різновидів.
Розрізняють індивідуальну і групову фотографію. Якщо виконавець роботи сам фіксує затрати часу на виконання окремих укрупнених елементів, то це називають самофотографією.
При обробці результатів спостережень визначають затрати часу з кожного елементу роботи шляхом віднімання від поточного часу його значення попередньому елементу роботи. Затрати часу за елементами шифрують, зводять у групи відповідно до встановленої класифікації затрат робочого часу, після чого їх підсумовують за кожною групою. Нижче наведено схему класифікації затрат робочого часу.
Класифікація затрат робочого часу зміни

При аналізі середніх даних групи спостережень визначають нераціональні затрати і витрати робочого часу, встановлюють їх причини, після чого складають раціональний баланс робочого часу, показник якого беруть за основу при розрахунках норм виробітку.
Розробляють заходи щодо запобігання втратам робочого часу і удосконалення організації праці в цілому на даному трудовому процесі.
Хронометраж - це спосіб вивчення використання робочого часу на виконання окремих, часто повторюваних елементів операцій, які можуть бути розчленовані до прийомів, дій, рухів.
Наприклад, визначити норматив на один поворот агрегату; на встановлення однієї рослини овочевих культур у саджалку (норматив, потрібний для встановлення швидкості руху садильного агрегату); норматив сортування овочів, плодів, консервування плодоовочевої продукції та інші нормативи за елементами, що є основою для визначення норм виробітку на ці роботи.
Особливо велике значення хронометраж має при вивченні методів і прийомів праці, за допомогою яких одні і ті ж операції можна виконати за різний час.
Фотохронометраж - це комбінований вид спостережень, що включає фотографію робочого часу і хронометраж. При вивченні затрат робочого часу цим методом в окремі періоди проводять хронометражні спостереження на часто повторювані елементи. Хронометражні спостереження при фотохронометражі ведуть тільки безперервним способом з визначенням обсягу виконаної роботи. Точність хронометражних замірів має бути в межах однієї секунди.
Виконавець, який обирається для спостережень, повинен мати відповідну кваліфікацію та певний досвід роботи на даному процесі і відповідати середнім показникам фізичної сили, бути типовим за статею, віком та іншими параметрами.
Початком спостережень є початок робочої зміни. Проте, якщо робітник вийшов на роботу раніше, спостереження починають з моменту його появи. За умов, коли робітник запізнився, час від початку зміни до виходу виконавця на роботу вважають простоєм. Те ж саме стосується і закінчення роботи: закінчив раніше кінця зміни - простій, продовжує роботу після кінця зміни - спостереження проводяться до кінця роботи. Але розрахунки норм виробітку за всіх умов здійснюються на робочу зміну тривалістю 420 хвилин.
При вивченні та встановленні раціональних методів і прийомів праці застосовують кінозйомку трудових процесів.
7.3. Нормування праці на механізованих польових роботах
Під час виконання трудового процесу на продуктивність праці виконавця або машинного апарату діють фактори, які прийнято називати нормоутворюючими. Під нормоутворюючими факторами слід розуміти умови виробництва, які прямо або посередньо впливають на норму виробітку.
До таких факторів належать природно-історичні, агротехнічні, біологічні, організаційно-технічні та соціально-економічні.
До тимчасових факторів належать відхилення у вологості, тип, підтип та механічний склад ґрунту, попередня культура, забур’яненість, структура, щільність, кліматичні умови, тривалість робочого дня.
Постійні нормоутворюючі фактори по-різному впливають на продуктивність одного агрегату та витрат палива. Такий постійний нормоутворюючий фактор, як механічний склад ґрунту, класифікують залежно від опору ґрунту, який ґрунти чинять на одних роботах. Для полегшення визначення цієї залежності за механічним складом ґрунти ділять на шість груп і дев’ять класів.
До основних (узагальнених факторів), що безпосередньо установлюються і формують норми, належать:
- вимоги агротехніки і якість виконання робіт;
- питома енергомісткість на основній роботі або питомий опір машин-знарядь (стосовно тягових польових робіт);
- врожайність та стан культур, що збираються, на збиральних роботах (соломистість, вологість, забур’яненість, полеглість та ін.);
- енергетичні та тягові показники тракторів і самохідних машин, ресурси, що характеризують тягові й енергетичні їх можливості в даних умовах;
- конструктивні та експлуатаційні особливості тракторів та сільськогосподарських машин (крім тягових та енергетичних): ширина захвату, маса, місткість насіннєвих ящиків, бункерів та резервуарів, трудомісткість щозмінного технічного обслуговування, експлуатаційна надійність, пропускна здатність, санітарно-гігієнічні умови роботи механізаторів (жорсткість сидінь, зусилля на важелях і педалях та ін.);
- постійні показники полів, що не залежать від агробіологічних та інших умов (площа, довжина гону, конфігурація, рельєф, висота над рівнем моря, наявність перешкод);
- операційна технологія, правила провадження та організації робіт;
- загальний середній рівень кваліфікації та
культурно- технічного розвитку основної маси механізаторів.
Продуктивність тракторних агрегатів при виконанні сільськогосподарських робіт у рільництві, а отже, і норма виробітку залежить від швидкості їх пересування по полю, ширини захвату робочих органів і питомої ваги часу продуктивної роботи (основного часу) протягом робочої зміни. На підставі цього норму виробітку (Нв) можна визначити за формулою
Нв = Вр ∙ Ур ∙ То ∙ 0,1,
де Вр - ширина захвату тракторного агрегату, м;
УР - швидкість руху, км/год;
Т0 - час основної роботи протягом зміни, год;
0,1 - постійний коефіцієнт, який вводиться для вирівнювання показників, оскільки ширину захвату визначають у метрах, швидкість руху - в кілометрах, а виробіток - у гектарах.
7.4. Нормування праці на транспортних і ручних роботах
Для правильного застосування норм у господарствах при транспортних роботах проводять паспортизацію доріг, класифікацію вантажів, вивчення маршрутів перевезень. Все це допоможе встановити об’єктивні норми.
Транспортні роботи в сільськогосподарських підприємствах виконуються в основному двома видами транспортних засобів:
- тракторно-транспортними агрегатами (норму перевезень розраховують у тоннах);
- автомобільним транспортом (норму перевезень
розраховують у т/км).
До основних нормоутворюючих факторів вантажоперевезень будь-яким видом транспортних засобів належать:
- вид транспортного засобу та його вантажопідйомність;
- швидкість руху, відстань перевезень;
- спосіб навантаження і розвантаження, до диференційованих - вид та клас вантажу;
- дорожні (група доріг) і метеорологічні
умови (сприятливі, несприятливі).
Сільськогосподарські вантажі поділяють на чотири класи залежно від можливості використання номінальної вантажопідйомності транспортного засобу. До І класу належать ті види вантажів, які дають змогу завантажити транспортний засіб на його технічну вантажопідйомність (мінеральні добрива, гній, грунт, будівельні матеріали та ін.); до II класу - вантажі, якими можна завантажити транспортний засіб на 80 відсотків (зерно, силос, зелена маса тощо); до III класу - відповідно на 60 відсотків (затарені овочі, фрукти, пресоване сіно та ін.); до IV класу - на 50 відсотків (сіно, солома, саджанці, розсада тощо).
Усі типи доріг за їх станом об’єднують у три групи:
- І - дороги з асфальтним твердим покриттям без вибоїн і пошкоджень;
- ІІ - дороги гравійні, щебеневі, ґрунтові укатані, стерня зернових культур та ін.;
- ІІІ - ґрунтові розбиті, з глибокою колією.
Від зазначених факторів (клас вантажів та групи доріг) значно залежить норма перевезень, що необхідно враховувати при розрахунках.
Для визначення норм перевезень використовують такі формули:
- для тракторно-транспортних робіт з
визначенням норми перевезень у тоннах

- для автомобільних перевезень з визначенням перевезень у тонно-кілометрах

де Нп - норма перевезень (т, т/км);
Тзм - час зміни, хв;
Тпз - час підготовчо-заключних робіт, хв;
Твоп - час на відпочинок та особисті потреби, хв.
Qn- номінальна вантажопідйомність транспортного засобу, т;
К - коефіцієнт використання вантажопідйомності залежно від класу вантажу (від 0,5 до1);
Lср - відстань перевезень, км;
Трс - час рейсу, хв.
Час на підготовчо-заключні роботи, відпочинок та особисті потреби визначають за нормативами або за даними спостережень.
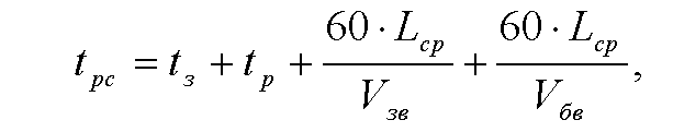
Час одного рейсу (tр) знаходять за формулою

де tз - час завантаження, хв; tр - час розвантаження, хв;
60 - кількість хвилин в одній годині;
Lср - середня відстань перевезень, км;
Vзв - швидкість руху з вантажем, км/год; Vбв - швидкість руху без вантажу, км/год.
Для визначення середніх затрат часу на завантаження і розвантаження з розрахунку на один рейс загальні витрати на це операції ділять на кількість рейсів. Середню швидкість руху визначають діленням пройденого шляху на затрачений час.
Ручні роботи. Методика встановлення норм виробітку на ручні роботи подібна до викладеної вище, її особливості визначаються відмінностями в нормоутворюючих факторах, притаманних окремим групам робіт із садіння та догляду за рослинами, збирання врожаю, виконання допоміжних робіт.
Нормоутворюючі фактори на садіння рослин:
- вид рослин; схема садіння;
- застосовувані засоби виробництва;
- на роботах з догляду за рослинами - забур’яненість;
- схема розміщення рослин на площі;
- ширина міжрядь;
- густота насадження;
- щільність ґрунту та інші чинники. На збиранні врожаю факторами, що впливають на норму виробітку, є маса та розмір плодів, урожайність культури, одночасність (неодночасність) достигання тощо.
Норму виробітку на ручні роботи розраховують за формулою
де Нв - норма виробітку, га, кг, ц, од.;
Тзм - час зміни, хв;
Тпз - час підготовчо-заключних робіт, хв;
Топ - час на особисті потреби, хв;
60 - кількість хвилин в одній годині;
tобс - час на обслуговування робочого місця за 1 год оперативної роботи, хв;
tв - час на відпочинок за 1 год оперативної роботи, хв;
Wn- продуктивність праці за 1 год оперативної роботи, га, кг, ц, од.
Час на підготовчо-заключну роботу встановлюють за нормативами (з довідників) за чотирма групами ручних робіт. Залежно від умов роботи з розрахунку на зміну він становить: І група - 5 хв, II - 8, III-11 і IV-14 хв.
7.5. Нормування праці в тваринництві
Для вивчення робочих процесів у тваринництві і розробці норм часу та норм обслуговування тварин велике значення має правильний облік нормоутворюючих факторів, які суттєво впливають на рівень продуктивності праці. Нормоутворюючі фактори - це причини та умови, які обумовлюють продуктивність праці. Кількість таких факторів у тваринництві та його галузях дуже велика, але впливають вони на норми праці неоднаково. Тому необхідно враховувати не всі нормоутворюючі фактори, а лише найбільш важливі. У тваринництві нормоутворюючі фактори класифікуються так:
- організація виконання робіт; технологія виконання робіт;
- рівень та засоби механізації;
- тип тваринницького приміщення; кваліфікація та досвід виконавців;
- вид тварин та напрями їх продуктивності;
- статево-віковий склад тварин; продуктивність тварин;
- спосіб та період утримання тварин; тип годівлі тварин.
Для вивчення затрат робочого часу виконавців та нормування праці, а також обслуговування тварин необхідно керуватись загальноприйнятою класифікацією затрат робочого часу (див. нижче).
Робочий час зміни - це час для виконання роботи без часу на обідню перерву. За характером використання робочий час зміни поділяють на нормований та ненормований.
До нормованого часу належать цілеспрямовані його витрати, які враховують при розробці технічно обґрунтованих норм.
До ненормованих затрат робочого часу належать різні його втрати, а також час на виконання робіт, не передбачених виробничим завданням.

Час роботи - це час цілеспрямованих дій виконавців, спрямованих на досягнення виробничого результату. Він поділяється на підготовчо-заключний, основний та допоміжний.
До підготовчо-заключного часу належить час на підготовку до роботи та її закінчення (наприклад, у молочному скотарстві збирання, підготовка та піднесення апаратів, миття посуду, підготовка інвентаря, здача продукції).
До основного (чистого) часу належать час, який витрачається на безпосередню роботу виконавців та знарядь праці, спрямовану на зміну форми положення чи стану предметів праці для досягнення кінцевого результату даного трудового процесу. Час основної роботи включає час, витрачений на отримання, піднесення та роздавання кормів, очищення годівниць та стійл, прив’язування та відв’язування тварин, операції, пов’язані з доїнням корів тощо.
До додаткового належить час, що витрачається на забезпечення основної роботи. Сюди включають час на догляд за знаряддями та обладнанням, станом робочого місця.
До часу регламентованих перерв у роботі належить час на особисті потреби виконавців та їх короткочасний відпочинок під час роботи, а також час перерв, обумовлених технологією та організацією процесу.
До процесу належать різного роду витрати робочого часу, пов’язані з організаційними, технічними причинами, які виникають з вини виконавців (порушення трудової дисципліни, безповідальне ставлення до роботи). Крім того, до ненормованих затрат робочого часу належать час випадкової роботи, тобто час для виконання робіт, не передбачених виробничим завданням, скорочення ненормованих затрат робочого часу сприяє зростанню продуктивності праці.
Нормовані затрати
Затрата часу доярок та операторів машинного доїння (за операціями)
-
Підготовчо-заключні роботи “ПЗ”: зміна одягу; миття рук; піднесення та навішування апаратів; піднесення теплої води та молочного посуду; віднесення апаратури; віднесення молочного посуду; миття апаратури; миття рук, взуття та зміна одягу.
-
Оперативна робота “Д”: здоювання перших струмків; підмивання вим’я; витирання вим’я; масаж; доїння вручну; підключення апарату; спостереження; додоювання вручну; перенесення апарату; прання рушника в дизрозчині; віднесення молока; зливання молока; викачування молока; загін корів; вигін корів; зміна теплої води для підмивання вим’я; переходи.
-
Годівля “К”: отримання кормів; піднесення кормів; роздавання кормів; спостереження за годівлею.
-
Чистка тварин “ЧТ”.
-
Чистка приміщень “ЧП”: чистка стійл; чистка годівниць; чистка обладнання; чистка проходів.
-
Прив’язування корів.
-
Відв’язування корів.
-
Разові роботи: приймання та здача тварин; зооветзаходи; відгін та переведення корів (пункт штучного осіменіння); інші разові роботи.
-
Інші роботи: зважування молока; зважування кормів, контрольне доїння.
Ненормовані затрати.
-
Випадкова робота.
-
Простої
-
з організаційних причин (роздавання кормів, розкидання соломи під час доїння);
-
з технічних причин (відсутність вакууму);
-
з вини виконавця (розмова з дояркою).
-
Методика розрахунку норм обслуговування тварин. Заключним етапом нормування праці у тваринництві є встановлення поголів’я окремого виду худоби або птиці, яке повинне обслуговувати виконавець у конкретних умовах виробництва при встановленій тривалості робочого дня. Норми обслуговування у тваринництві визначають за формулою:

де Ноб - норма обслуговування тварин, гол.;
Тем - встановлена тривалість робочого дня, хв;
Тпз - норматив часу на підготовчо-заключні операції з розрахунку на повний робочий день;
Топв - норматив часу на особисті потреби та відпочинок з розрахунку на повний робочий день, хв.;
Тоб - норматив часу на обслуговування однієї голови тварин, хв за зміну.
Цей показник визначають за формулою Тоб = tд + tг + tчч + tпп + tв + іін - нормативи часу на доїння, годівлю, очищення приміщень, прив’язування, відв’язування та інші разові роботи.
7.6. Поняття, принципи і завдання наукової організації праці. Форми організації праці
Наукова організація праці - комплекс заходів, що забезпечують найефективніші поєднання людей із засобами виробництва в єдиному виробничому процесі на основі досягнень науки, техніки і передового досвіду.
Основні завдання й принципи наукової організації праці:
- поділ та кооперування праці, найповніше використання знань, уміння й навичок кожного працівника;
- вдосконалення виробничих процесів і робочих місць та обслуговування їх із метою збільшення корисного часу протягом зміни;
- створення для працюючих найкращих умов праці та відпочинку, поліпшення трудової дисципліни, розробка і впровадження науково обґрунтованих норм праці;
- безпека праці та підвищення професійного і культурного рівня працівників;
- зростання відповідальності й матеріальної
заінтересованості в кінцевому результаті виробництва, кращому використанні
землі, основних і оборотних засобів дотримання режиму
економії.
Під поділом і кооперуванням праці розуміють форми організації трудових колективів, тобто найдоцільніше розчленування виробничого процесу, добір працівників відповідних професій та встановлення певних зв’язків між ними, організація орендних відносин, індивідуальних і сімейних ферм.
Розрізняють цехову й бригадну організаційні системи. У великих за розміром, господарствах найчастіше функціонує цехова організація. Цехи виділяються за галузевим принципом. Так, комбінат “Боровське” Харківської області у своєму складі має сім цехів: перший займається виробництвом і переробкою продукції рослинництва; другий забезпечує виробництво, переробку та реалізацію продукції тваринництва; функції третього - капітальне будівництво й виробництво будівельних матеріалів; четвертий - цех інженерно- технічного забезпечення, який виконує механізовані та електрифіковані роботи, підтримує в стані експлуатаційної готовності машинно- тракторний парк і електрогосподарство; на базі автопарку створено п’ятий цех - транспортного та спеціального обслуговування; шостий - цех допоміжних і обслуговуючих виробництв; сьомий - комбінат соціально-побутового обслуговування. У кожному з цехів створено окремі організаційні підрозділи зі своїми функціями.
За часом існування розрізняють постійні й тимчасові форми організації праці. Основними з них є бригада, ланка або група працівників.
Постійна бригада - це досить великий колектив працівників професійного складу, за яким на тривалий час закріплено землю або тварин і необхідні засоби виробництва для своєчасного виконання всіх робіт переважно власними силами й одержання запланованого обсягу продукції на основі матеріальної заінтересованості в кінцевих результатах виробництва на умовах госпрозрахунку, колективного підряду чи оренди, колективної або приватної власності.
Бригади класифікують за складом галузей (спеціалізовані, галузеві, комплексні) та рівнем механізації (ручна праця, механізована, комплексна механізація).
У господарствах, де є бригади ручної праці, поряд із ними організовано самостійні тракторні бригади. Їхнє завдання - виконувати механізовані роботи на землі, закріпленій за двома-трьома бригадами ручної праці згідно з доведеним планом механізованих робіт. Ця форма характерна для господарств із невисокою концентрацією виробництва, невеликими розмірами виробничих бригад, недостатньою забезпеченістю засобами механізації.
Підвищення енергооснащеності сільськогосподарських підприємств у результаті науково-технічного прогресу, впровадження прогресивних індустріальних технологій виробництва створюють умови для завершення комплексної механізації та застосування відповідної організаційної форми - бригади комплексної механізації.
Формою внутрішньобригадної організації є ланка. Потреба в них зростає при укрупненні господарств і бригад, створенні нових форм організації праці в умовах реформування сільського господарства. Члени ланки на закріпленій ділянці виконують основні роботи з виробництва одного-двох видів продукції у рослинництві або на них припадає частина виробничого процесу в тваринництві. Ланки створюють на рік, сезон або невеликий проміжок часу для виконання певної роботи. Залежно від способу виконання виробничих процесів розрізняють ланки ручної праці, механізовані та комплексної механізації. Ланкову систему широко застосовують при вирощуванні всіх культур, особливо технічних і просапних.
Нині значного поширення набувають різні форми підряду: колективний, сімейний, індивідуальний, орендний. Найдосконаліший в умовах державних і великих, колективних підприємств - орендний підряд, який ґрунтується на оренді основних засобів виробництва - землі, продуктивних тварин, автотранспорту, сільськогосподарської техніки, ремонтних майстерень, переробних і підсобних підприємств, будівель тощо. Орендарями можуть бути цілі підприємства, бригади, ланки, кооперативи, а також окремі працівники та члени розпайованих господарств. Ця форма при реформуванні сільського господарства є досить важливим ступенем переходу до створення приватних підприємств, особливо такого її різновиду, як лізинг, тобто оренди з правом викупу в подальшому.
Створення орендних колективів сприяє і збільшенню виробництва та поліпшенню якості продукції, не потребує одночасних великих капіталовкладень, стимулює і дію противитратного механізму. Відносини між господарем-орендодавцем і орендними колективами або окремими орендарями регулюються договором, де зазначено строки оренди, розмір орендної плати, взаємні економічні та правові зобов’язання сторін у ході виробничого процесу та реалізації продукції тощо.
На склад і розміри трудових колективів впливають такі основні фактори: природні умови, географічне положення й спеціалізація, розмір закріпленої площі або поголів’я тварин, склад основних засобів та рівень механізації, планова врожайність сільськогосподарських культур і продуктивність тварин, кваліфікація кадрів, наукова обґрунтованість норм виробітку, умови й прийняті форми організації праці.
Оптимальні розміри постійних виробничих підрозділів визначають за трьома методичними підходами. Перший із них полягає у використанні розроблених науковими установами нормативів розміру площі або кількості поголів’я тварин для конкретних природно- економічних умов зони, де розташоване підприємство. За цими даними на підставі технологічних карт розраховують обсяг кожного виду робіт за періодами, ділять його на прийняту на підприємстві норму виробітку і таким чином визначають кількість працівників у колективі, що зможуть виконати даний обсяг роботи в зазначені терміни.
За другою методикою застосовують нормативи навантаження посівів або поголів’я на одного працівника; діленням закріпленої площі або поголів’я тварин на цей норматив визначають необхідну чисельність колективу.
Третій спосіб пов’язаний із встановленням оптимальних розмірів підрозділів для умов зони аналізом масових даних. При цьому користуються методом статистичних групувань і виявляють найефективніші розміри підрозділів як за площею посівів чи поголів’ям тварин, так і за кількістю працівників різних професій та кваліфікації.
Застосування всіх трьох підходів потребує наявності на підприємстві адекватної умовам нормативної бази.
При визначенні розмірів тимчасових колективів виходять з обсягу робіт, строків їх виконання, норми виробітку й необхідної чисельності групи для обслуговування машини або механізму, що виконує технологічний процес
Чк = (О ∙ Чп) : (Д ∙ Нв),
де Чк - чисельність колективу, чол;
О - обсяг робіт у відповідних одиницях;
Д - термін виконання роботи, днів;
Нв - денна норма виробітку;
Чп - чисельність працівників, що обслуговують один агрегат одночасно, чол.
7.7. Наукова організація праці та атестація робочих місць
Умови праці - це сукупність факторів виробничого середовища, які в процесі праці впливають на працездатність і здоров’я людини. Тому поліпшенню таких умов, як елемента наукової організації праці, необхідно приділити особливу увагу.
Різноманітні умови праці поділяють на три основні групи: санітарно-гігієнічні, психофізіологічні та естетичні.
До санітарно-гігієнічних умов належать температура, запиленість різноманітними домішками і бактеріями та загазованість повітря, освітленість робочих місць, рівень виробничого шуму й вібрації.
Психофізіологічні умови праці повинні підтримувати відповідність між фізичним і психічним станом працівника й сприяти підвищенню продуктивності його праці. Психофізіологічні показники покладено в основу визначення норм фізичного навантаження та режиму праці. Вони дають змогу встановити межу разового піднімання ваги, допустимих механічних навантажень за зміну, підтримання протягом усієї зміни необхідного темпу і ритму роботи. Ефективними заходами при цьому є вибір найзручніших поз та їх чергування, дотримання санітарно-гігієнічних умов, раціонального режиму робочого дня в цілому і мікропауз у процесі роботи, а також сприятливих відносин у колективі.
Естетичні умови відіграють важливу роль як фактор оздоровлення людини та зростання продуктивності і праці.
Виробнича естетика - це створення комфорту на кожному робочому місці, раціональне розміщення засобів і предметів праці з метою зручності їх застосування (зліва, справа, на певній висоті та відстані від руки тощо), дотримання чистоти і порядку на робочому місці, вибір приємного кольору пофарбування приміщення й усіх предметів навколо робочого місця, місць відпочинку; озеленення і впорядкування території, особливо місць відпочинку; наявність відповідного музичного супроводу. Ці умови тісно пов’язані з санітарно-гігієнічними й психофізіологічними і повинні діяти в комплексі з ними.
Розрізняють внутрішньозмінний, добовий, тижневий, місячний і річний режим. Внутрішньозмінний режим роботи та відпочинку - це порядок чергування їх протягом зміни або робочого дня; добовий - характеризується чергуванням періодів виробничого і особистого часу протягом доби; тижневий - визначається кількістю робочих днів на тиждень; місячний і річний режими - це кількість робочих тижнів, днів чергової відпустки.
Науковими установами рекомендовані правила чергування роботи та відпочинку протягом зміни: на роботах, не пов’язаних з особливим нервовим напруженням, - 5 хв відпочинку через кожні 1-1,5 год роботи; при нормальній напруженості - перерва 10-15 хв через 2 год; на важких або одноманітних роботах - перерви частіші й триваліші.
Тривалість перерви на обід розраховують не лише на приймання їжі, а й з урахуванням часу для відпочинку, відновлення працездатності. На термінових роботах рекомендують застосовувати вахтовий метод при тривалості вахти від 3 до 6 год. У тваринництві замість тривалої перерви між циклами доцільно переходити на двозмінний режим роботи.
Режим роботи та відпочинку (режим дня) встановлюють на кожному підприємстві для певної галузі з урахуванням її особливостей і оформляють як розпорядок робочого дня Невиконання правил внутрішнього розпорядку призводить до зриву робочого процесу й вважається порушенням трудової дисципліни.
У сільському господарстві робоче місце - це зона дії працівника, розміщення засобів виробництва, необхідних для виконання певної роботи. На ньому, залежно від виду роботи, може працювати один чи кілька чоловік. Місце обмежене просторово (кабіна трактора або зерноочисна лінія, що складається з кількох машин і яку обслуговує група людей). Ширшим є поняття робочої зони. Вона визначається як певна ділянка, на якій переміщуються засоби виробництва, тобто можуть одночасно існувати кілька робочих місць.
Робочі місця класифікують за часом їх існування (постійні, тимчасові), рівнем механізації праці (ручна праця, механізовані (автоматизовані), кількістю працівників, що їх обслуговують (індивідуальні, колективні).
До організації робочого місця ставляться такі вимоги:
- точне виконання прийнятої в господарстві технології, по можливості скорочення умов для застосування передових методів і прийомів роботи;
- дотримання ергометричних вимог при забезпеченні працівника засобами виробництва, сировиною та матеріалами, тарою тощо;
- раціональне оснащення основним і допоміжним
обладнанням; створення необхідних санітарно-гігієнічних та комфортних умов
роботи.
Важливе значення для досягнення високих результатів праці має порядок обслуговування робочих місць, тобто послідовність переміщення засобів і предметів праці, чітке в часі пересування виконавців та обслуговування робочих процесів. Раціональне планування та обслуговування робочих місць і зон, доцільне їх оснащення дають змогу значно економити робочий час і за рахунок цього підвищувати продуктивність праці.
Атестація робочих місць передбачає визначення фактичного стану організації робочих місць і встановлення ступеня відповідності їх типовим операційним технологіям та вимогам наукової організації праці за такими факторами:
- відповідність кваліфікації виконавця
функціям, які він виконує; забезпечення нормативно-технічною документацією,
обладнанням, приладами, інструментом, машинами, а також встановленого технологією рівня механізації робіт; належний облік і аналіз роботи виконавців; - відповідність вимогам організації та охорони праці;
- оцінка якості роботи.
Якщо кожний із цих факторів повністю
відповідає встановленим вимогам, він оцінюється одиницею. У випадках, коли до
фактора є певні зауваження, він оцінюється 0,5 (умовно атестований) або 0 (
неатестований).
Середній коефіцієнт визначають як суму значень усіх коефіцієнтів, поділену на їхню кількість (8). Робоче місце вважається атестованим, коли середній коефіцієнт оцінки становить не менш як 0,75, умовно атестованим - при значенні коефіцієнта від 0,5 до 0,75, неатестованим - при його значенні менше 0,5 або в разі неатестованості робочого місця за фактором “відповідність вимогам охорони праці”.
Атестацію робочих місць здійснює атестаційна комісія. Вона складає акт атестації, де зазначається кількість неатестованих або умовно атестованих робочих місць за факторами атестації. На підставі цього акта у десятиденний строк розробляють організаційні й агрозоотехнічні заходи щодо приведення робочих місць у належний стан.
Розрізняють соціальну та економічну ефективність від впровадження заходів щодо наукової організації праці. Соціальна ефективність полягає у поліпшенні умов праці, підвищенні професійного і культурно-освітнього рівня працівників, а в зв’язку із цим - у зменшенні травматизму та плинності кадрів і підвищенні продуктивності праці, тобто соціальний ефект може переходити в економічний.
Економічний ефект передбачає економію праці, матеріалів, капітальних вкладень і коштів на одиницю продукції або роботи.
Економію праці визначають зіставленням затрат праці на одиницю продукції (роботи) до впровадження накреслених заходів і після них за такою формулою:
Еп = (Т0 — Тн) ∙ Он,
де Еп - економія праці, люд.-год;
То- затрати праці на одиницю продукції (роботи) в базовому варіанті;
Тн - те ж саме після впровадження заходів НОП;
Он - обсяг продукції (роботи), що одержують або виконують після впровадження запланованих заходів.
Економію матеріальних витрат і коштів розраховують за формулою
Ер = (Сб - Сн) ∙ О,
де Ер - річна економія від зниження собівартості продукції або експлуатаційних витрат, грн;
Сб - собівартість одиниці продукції або експлуатаційні витрати на одиницю роботи в базовому варіанті;
Сн - собівартість одиниці продукції чи експлуатаційні витрати на одиницю роботи в запланованому варіанті;
О - обсяг планової продукції.
Для визначення загального ефекту, що включає як поточні, так і капітальні витрати, тобто річного економічного ефекту, користуються формулою
Ее = (Сб + Кб- Е)-(Сн + Кн ∙ Е) ∙ Он,
де Ее - річний економічний ефект від впровадження заходів НОП, рн;
Кб і Кн - питомі капітальні вкладення відповідно у базовому і новому варіантах, грн;
Е - нормативний коефіцієнт ефективності капітальних вкладень (0,15).
Найбільший економічний ефект одержують при впровадженні не окремих пропозицій, а комплексу заходів, що передбачають поліпшення умов і безпеки праці, раціональний режим праці та відпочинку, використання передової техніки й технології виробництва.
ПЕРЕГЛЯНУТИ
СЛАЙДИ ПРЕЗЕНТАЦІЇ
Контрольні питання
- Принципи та методи нормування праці.
- Характеристика методів нормування праці.
- Способи вивчення трудових процесів (фотографія, хронометраж) і затрат робочого часу.
- Встановлення місцевих норм праці на механізовані польові роботи на підставі проведення фотографії робочого дня.
- Порядок розрахунку за типовими нормативами норм виробітку на механізовані польові роботи.
- Методика розрахунку норм праці на транспортних роботах.
- Нормування праці на ручних роботах.
- Розрахунок норм обслуговування тварин за нормативними таблицями.
- Поняття, принципи і завдання наукової організації праці.
- Організація та атестація робочих місць та
показники характеристики робочих місць, їх оцінка.



