8. ОРГАНІЗАЦІЯ ОПЛАТИ ПРАЦІ

8.1. Форми і системи оплати праці.
8.2. Оплата праці в рослинництві.
8.3. Оплата праці в тваринництві.
8.1. Форми і системи оплати праці
Правові, економічні і організаційні засади оплати працівників підприємств усіх форм власності і господарювання визначені Законом України “Про оплату праці”. Законом визначено системи оплати праці; передбачено, що основою організації оплати праці є тарифна система, порядок організації оплати праці на підприємстві, права працівника на оплату праці, форми виплати заробітної плати, строки виплати заробітної плати та ін.
Колективним договором, як виняток, може бути передбачено часткову виплату заробітної плати натурою (за цінами не вище собівартості) у розмірі, що не перевищує 30 відсотків нарахованої за місяць, у тих галузях або за тими професіями, де така виплата, еквівалентна за вартістю оплаті праці у грошовому виразі, є звичайною або бажаною для працівників, крім товарів, перелік яких встановлюється Кабінетом Міністрів України.
Натуроплата повинна бути еквівалентна до рівня оплати, нарахованої у грошовій формі, обчислена за цінами, не нижчими за собівартість продукції.
Співвідношення між розмірами грошової і натуральної заробітної плати, умови видачі натуроплати, ціни, за якими вона обчислюється, встановлюється в колективному договорі.
На колективні сільськогосподарські підприємства в повній мірі поширюється дія Закону України “Про колективні договори і угоди”, гарантії і норми, встановлені Генеральною і галузевими угодами. Відповідно до ст. 2 зазначеного закону в колективних сільськогосподарських підприємствах трудові і соціально-економічні відносини регулюються шляхом укладення колективного договору.
Види оплати: основна, додаткова, преміальна.
Форми оплати: відрядна і погодинна.
Системи оплати: пряма і непряма відрядна, відрядно-преміальна, акордна, акордно-преміальна; погодинна проста, погодинно-преміальна, оплата праці від валового доходу.
Відрядна та погодинна система оплати праці
При відрядній та погодинній системах оплати праці використовуються такі її системи: пряма відрядна; відрядно-преміальна; відрядно-прогресивно-преміальна; непряма відрядна; проста погодинна; погодинно-преміальна.
Пряма відрядна система - сутність у тому, що заробіток працівника перебуває в прямій залежності від індивідуального виробітку і за кожну одиницю роботи йому нараховується заробітна плата згідно з прийнятою в господарстві тарифною сіткою і нормами виробітку на дану роботу. Тобто, скільки б одиниць роботи не виконав працівник, за кожну з них він отримує однакову оплату. Відрядна розцінка при цьому за одиницю роботи визначається діленням тарифної ставки на встановлену в господарстві норму виробітку.
Відрядно-преміальна система. Сутність її в тому, що за обсяг виконаних робіт у межах встановленої норми виробітку за кожну одиницю виконаної роботи заробіток нараховується в межах прийнятої тарифної ставки, а за перевиконання норми виробітку передбачається премія в розмірах, встановленому у господарстві. Премії можуть становити 30-50 відсотків від тарифної ставки за виконану понаднормативну роботу.
Непряма відрядна система застосовується переважно при оплаті праці допоміжних робітників: водіїв, майстрів-налагоджувальників, ремонтників, інших обслуговуючих виробництво працівників, за умов коли їх заробіток ставиться в пряму залежність від заробітної плати основних робітників.
Проста погодинна система передбачає, що заробіток робітника встановлюється на підставі погодинної тарифної ставки відповідно до кваліфікації робітника і відпрацьованого ним часу. За способом нарахування заробітку за цією системою розрізняють погодинну, поденну і щомісячну оплату. Погодинна система оплати праці використовується переважно підрядними трудовими колективами як одна з основних форм авансування до розрахунку за продукцію. Вона певною мірою спонукає трудові колективи до отримання високих кінцевих результатів.
Погодинно-преміальна система - до заробітку працівника- погодинника, крім погодинної тарифної за фактично відпрацьований час, включають премію за виконання нормованого завдання, розробленого на основі прогресивних нормативів, своєчасне і якісне виконання роботи та її якісні показники. У практиці трудових колективів, що працюють на принципах підряду, якісні показники при авансуванні робітників-погодинників враховують через коефіцієнт трудової участі (КТУ).
Колективна акордна система передбачає оплату праці не за окрему виробничу операцію, а за комплекс взаємопов’язаних робіт. Акордна оплата визначається, виходячи з діючих норм, тарифів і розцінок, відповідно до переліку виконуваних робіт. Проміжні розрахунки здійснюються за фактично виконані роботи. Розподіл акордної оплати між членами трудового колективу здійснюються за відпрацьований час кожного з урахуванням кваліфікації виконавців. Акордна оплата широко застосовується на збиральних роботах і заготівлі кормів.
Проте зазначені системи оплати праці недостатньо пов’язані з кінцевими результатами виробництва і зацікавленістю у їх поліпшенні. Для уникнення цього недоліку була і запроваджена акордно- преміальна система оплати праці, яка найбільше поширена і за сучасних умов виробництва в реформованих господарствах.
Акордно-преміальна система оплати праці
Сутність акордно-преміальної системи в тому, що основна оплата праці здійснюється за двома показниками:
- обсяг виконаних робіт (відпрацьований час);
- ількість і якість виробленої продукції.
Перша її частина (обсяг робіт, відпрацьований час) виступає у формі авансу, що може бути як відрядним - за обсяг виконаних робіт, так і погодинним - за відпрацьований час.
Друга частина оплати праці за кінцевий результат виробництва формується за рахунок коштів збільшення тарифних ставок на 25-50 відсотків при визначенні розцінок оплати за продукцію (величина відсотка залежить від досягнутого рівня виробництва: чим він вищий, тим більший і відсоток збільшення тарифу).
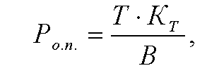
Методика розрахунку розцінок оплати праці за продукцію грунтується на використанні показників оплати за тарифом та доплат за продукцію й вихід валової продукції; розраховується за формулою

де Роп - розцінка оплати за одиницю продукції, грн.;
Т - тарифний фонд оплати праці на виробництві певної продукції, грн.;
Кт - коефіцієнт збільшення тарифу (1,25-1,50);
В - валова продукція, ц, шт., грн.
Розрахована таким чином розцінка оплати праці за продукцію є акордною оплатою, яка встановлюється після отримання продукції як добуток від множення кількості одиниць продукції на її розцінку. Різниця між виплаченим протягом року авансом і розрахованою сумою за продукцію і є тією різницею, що виплачується за другий показник пропорційно до отриманого авансу.
Розцінка оплати праці за одиницю продукції може бути розрахована за різними варіантами:
- за кожну культуру, яку вирощує внутрішньогосподарське формування;
- єдина розцінка за 1000 грн. Виробленої валової продукції;
- колективна акордна розцінка за одиницю продукції на виробництві (заготівлі), виконанні окремих комплексних видів робіт - заготівлі та внесенні добрив, збиранні врожаю та ін.
Тарифний фонд оплати праці визначається за даними технологічних карт з кожної культури з урахуванням змін, що відбуваються в тарифних розрядах, ставках та нормах виробітку. Коефіцієнт збільшення тарифу приймається загальними зборами в межах рекомендованих (1,25-1,50) і відображених у прийнятому в господарстві Положенні про оплату праці. Урожайність на плановий рік також приймається загальними зборами господарського формування. Вартість валової продукції розраховується за цінами, які існують на період складання виробничої програми і розрахунку розцінок.
При застосуванні колективної розцінки розподіл оплати праці між професійними групами здійснюється пропорційно до акордного фонду оплати праці, а всередині професійної групи - за відпрацьований час. За умов визначення розцінок оплати кожній професійній групі всередині групи для доярів встановлюється оплата за надоєне молоко кожним, тваринникам за молоко, надоєне від тих груп, які обслуговує той або інший тваринник, а решта категорій - від загально надоєного молока на фермі.
Система оплати праці від валового доходу найбільш доцільна в умовах, коли відшкодування всіх витрат виробництва, у тому числі і на заробітну плату здійснюється за рахунок власних коштів.
Тарифна система, її призначення та складові частини
Основою організації оплати праці є тарифна система, яка включає тарифні сітки, тарифні ставки, схеми посадових окладів і тарифно-кваліфікаційні характеристики (довідники).
Тарифна система оплати праці використовується для розподілу робіт залежно від їх складності, а працівників - залежно від їх кваліфікації та за розрядами тарифної сітки. Вона є основою формування та диференціації розмірів заробітної плати.
На госпрозрахункових підприємствах усіх форм власності форми і системи оплати праці, тарифні сітки, розцінки, схеми посадових окладів, умови запровадження та розміри надбавок, доплат, премій, винагород та інших заохочувальних, компенсаційних і гарантійних виплат встановлюються підприємствами у колективному договорі з дотриманням норм і гарантій, передбачених чинним законодавством, Генеральною і Галузевою угодами.
Мінімальні коефіцієнти співвідношень тарифних ставок робітників за видами виконуваних робіт до тарифної ставки робітника І розряду та коефіцієнти міжрозрядних співвідношень
|
Види виконуваних
робіт |
Коефіцієнти |
|
Ручні роботи в
рослинництві |
1,00 |
|
Ручні роботи в
тваринництві |
1,16 |
|
Механізовані роботи в рослинництві, земляні і дорожні
роботи (з урахуванням груп підприємств за
регіонами) |
|
|
І група |
1,17 |
|
ІІ
група |
1,29 |
|
ІІІ
група |
1,42 |
|
Механізовані роботи в
тваринництві |
1,17 |
|
Механізовані вантажно-розвантажувальні
роботи |
1,06 |
|
Транспортні роботи, виконувані тракторними
агрегатами |
1,06 |
|
Ремонтні і верстатні
роботи |
1,06 |
Мінімальні коефіцієнти міжрозрядних співвідношень для встановленнятарифних ставок робітникам
|
|
Розряди | |||||
|
І |
ІІ |
ІІІ |
ІV |
V |
VІ | |
|
Коефіцієнти міжрозрядних
співвідношень |
1,00 |
1,09 |
1,20 |
1,35 |
1,55 |
1,80 |
Примітка:
1. Розрахункова норма тривалості робочого часу при 40-годинному робочому
тижні щорічно визначається Міністерством соціальної політики України (на 2017
рік становить 1986 годин).
2. Групи з оплати праці
трактористів-машиністів встановлюються в залежності від регіону:
І група – сільгосппідприємства Автономної Республіки Крим (крім гірських і передгірних), Запорізької, Дніпропетровської, Миколаївської, Одеської і Херсонської областей;
ІІ група – сільгосппідприємства Вінницької, Луганської, Донецької, Кіровоградської, Полтавської, Тернопільської, Харківської, Черкаської, Чернівецької (крім гірських і передгірних), лісостепові підприємства Житомирської, Київської, Львівської, Сумської, Хмельницької та Чернігівської областей;
ІІІ група – сільгосппідприємства Волинської, Закарпатської, Івано-Франківської, Рівненської областей, гірські і передгірні підприємства Автономної Республіки Крим, Львівської, Чернівецької областей та поліські підприємства Житомирської, Київської, Львівської, Сумської, Хмельницької і Чернігівської областей.
8.2. Оплата праці в рослинництві
Протягом значного періоду функціонування колективних сільськогосподарських підприємств оплата праці в рослинництві удосконалювалась і нині склалися певні її види та показники, застосування яких доцільне і за умов ринкових відносин.
Оплату праці поділяють на такі три види:
Основна оплата за:
- кількість виробленої продукції;
- відпрацьовані людино-години;
- обсяг виконаних робіт.
Додаткова оплата за:
- якість виконаних робіт і стислі строки виконання їх;
- підвищена оплата на збиранні врожаю;
- доплати за стаж роботи в даному господарстві і кваліфікацію виконавця (класність);
- надбавки за роботу із захисту рослин і на різних видах техніки.
Преміювання за:
- збереження і ефективне використання техніки та подовження строків служби техніки;
- економію енергоресурсів та інших прямих витрат;
- досягнення високих врожаїв і прибутків.
Наведені категорії взаємопов’язані між собою і взаємозалежні одна від одної. Чим вища основна оплата праці, тим більша і додаткова, оскільки остання нараховується за відповідними відсотками (встановлюється в господарстві) до основної. Дещо інша система преміювання, яка встановлюється за визначеними показниками від суми економії витрат та встановлених розмірів за збереження техніки, подовження строків її служби, навчання молодих працівників. Преміювання за результати діяльності від прибутку встановлюється у відсотковому розмірі за рішенням трудового колективу.
Розробка і обгрунтування основних положень з оплати праці працівників рослинництва вимагають послідовного вивчення ряду питань, найважливішими серед яких:
- вибір найдоцільнішої (найприйнятнішої) системи основної оплати праці в даному господарстві: оплата за фактично вироблену продукцію чи від одержаного валового доходу;
- стимулювання протягом року, кінцевий розрахунок за результатами роботи за
рік.
Усі ці системи мають певні переваги над оплатою праці лише за фактично виконані роботи, яка під час економічної кризи знову набула поширення.
Поточне авансування та стимулювання протягом року
Загальний розмір авансу, виданий протягом року, складається з двох частин: поточного авансування за виконання фактичного обсягу робіт (чи відпрацьований час) та стимулювання протягом року.
Поточне авансування. У практичній діяльності реформованих сільськогосподарських підприємств застосовуються переважно дві основні форми авансування - погодинне і відрядне.
Розміри оплати при погодинному авансуванні встановлюються на підставі різних підходів (з урахуванням побажань колективу):
- як добуток відповідної погодинної тарифної ставки на кількість відпрацьованих годин;
- у розмірі місячної ставки - як добуток відповідної денної ставки на кількість відпрацьованих повних робочих днів за місяць.
Діапазон тарифних ставок при погодинному авансуванні незначний - 2-3 розряди. Як правило, тарифні ставки встановлюють у межах 3-5 розрядів, оскільки при різному рівні кваліфікації працівників існує взаємозаміна, виконання працівниками нижчої кваліфікації робіт, що тарифікуються за вищим розрядом.
При погодинному авансуванні розмір авансу можна також визначати, виходячи із суми оплати, передбаченої за технологічними картами за роботи з вирощування закріплених за бригадою (ланкою) сільськогосподарських культур.
У межах встановленого тарифного фонду оплати бригаді, ланці можна застосовувати вищий розмір погодинного щомісячного авансу в період проведення найважливіших сільськогосподарських робіт (сівба, збирання урожаю та ін.).
Відрядне авансування провадиться за фактично виконаний обсяг робіт, виходячи з існуючих норм виробітку та прийнятих у господарстві тарифних ставок.
У випадку, коли відрядне авансування провадиться за єдиним нарядом, заробітну плату за обсяг виконаних робіт нараховують не індивідуально кожному механізатору чи іншому працівникові, а всьому колективу за весь обсяг виконаних робіт за певний період. За рішенням колективу розподіл авансу можна провадити з урахуванням коефіцієнта трудової участі.
Незалежно від обраної форми головна вимога - обгрунтування розміру самого авансу. Він не може бути меншим, ніж 50-60 відсотків загальної оплати. В обох випадках це негативно позначиться на діяльності господарських формувань та їх результатах.
Поточне нарахування доплати за продукцію, з огляду на можливі відхилення фактичної кількості від запланованих обсягів, рекомендується провадити з коефіцієнтом 0,5-1.
Так, якщо в рослинництві господарство планувало провадити доплату за продукцію в розмірі 50 відсотків (акордний коефіцієнт при розрахунку розцінок - 1,5), то при поточному авансуванні фактичний розмір оплати за тарифом може бути збільшений на 25-50 відсотків.
Наприкінці року здійснюють остаточне нарахування надбавок, доплат та їх коригування.
Доплати та премії за кінцеві результати виробництва
Основними видами оплати праці виступають доплата за продукцію та преміальні виплати за відповідні показники. Грошова оплата при використанні різних систем доповнюється натуральною оплатою. Зазначені системи оплати праці гнучкіші й забезпечують в основному потреби господарств на досягнутому рівні їх розвитку.
При акордно-преміальній системі розцінки за продукцію встановлюють, як правило, для бригади, ланки в цілому. При цьому тарифний фонд оплати праці для розрахунку розцінок більшою мірою підвищується бригадам, ланкам, які досягли вищих показників урожайності сільськогосподарських культур порівняно з іншими підрозділами господарства, району, зони.
Якщо на вирощуванні сільськогосподарських культур передбачена додаткова оплата за одержану продукцію в межах нормованого завдання (цукрові буряки фабричні й на корм, кормові буряки та ін.), розцінки за продукцію визначають, виходячи із суми фонду оплати праці за тарифом (без збільшення “на суму доплати за продукцію”).
Норму виробництва продукції і розмір підвищення тарифного фонду оплати праці до 150 відсотків слід встановлювати так, щоб розрахована на її основі розцінка не призводила до збільшення витрат на оплату праці з розрахунку на одиницю продукції в цілому по господарству, а також не допускала випереджаючого зростання оплати праці порівняно з підвищенням її продуктивності.
Тарифний фонд оплати праці для розрахунку розцінок за продукцію визначають за технологічними картами, складеними для кожної культури на підставі запланованого обсягу робіт, включаючи роботи незавершеного виробництва, установлених норм виробітку і відповідних тарифних ставок.
Тарифний фонд оплати праці бригаді, ланці встановлюється за технологічною картою на урожайність, передбачену при розрахунку норми виробництва продукції.
Розцінки за продукцію можна встановлювати стабільними на ряд років. При зміні технології виробництва, підвищенні рівня механізації, впровадженні більш урожайних сортів та зміні інших умов розцінки необхідно переглядати.
Після завершення сільськогосподарських робіт (у тому числі і під урожай майбутнього року) з працівниками бригад, ланок провадять остаточний розрахунок за вироблену і оприбутковану продукцію за встановленими розцінками.
Із суми заробітку, нарахованого за продукцію (без урахування надбавок за класність, звання “Майстер”, підвищеної оплати праці на збиранні врожаю), віднімають одержаний аванс і суму заробітку залучених осіб. Різниця становить суму доплати за продукцію, яку розподіляють між членами колективу.
Загальноприйнято, що працівникам, залученим у підрозділи на виконання сільськогосподарських робіт з інших виробничих підрозділів та галузей господарства, нараховуються доплати за продукцію на ту частину заробітку, яка їм нарахована за роботи в даному підрозділі. У свою чергу ці доплати не виплачуються тимчасово залученим працівникам і між членами бригади, ланки не розподіляються.
Працівникам, які працюють на сімейному й особистому підряді, у тому числі особам, які працюють в інших підприємствах і організаціях та виконують роботи за договором підряду у вільний від основної роботи час, встановлюються розцінки для оплати за продукцію, виплачуються доплати за продукцію і премії в порядку, передбаченому для постійних працівників.
За рішенням колективу доплату за продукцію можна розподіляти між працівниками підрядних колективів із застосуванням коефіцієнта трудової участі (КТУ) або пропорційно нарахованому авансу, включаючи суму авансу за роботу під урожай майбутнього року.
Оплату за продукцію колективу в рослинництві провадять не за кожну культуру окремо, а в цілому за всі, закріплені за ними культури.
Суму оплати праці за продукцію, нараховану колективу за розцінками, як правило, не коригують на зміни в технології, що відбулися протягом року, порівняно з технологією, передбаченою технологічною картою.
Під час застосування акордно-преміальної системи набуло поширення преміювання за економію прямих витрат розміром до 70 відсотків одержаної економії. При цьому враховуються ті прямі витрати, витрачання яких залежить від конкретного колективу працівників. В разі перевищення установлених витрат з вини колективу їх відшкодовують повністю або частково за рахунок коштів, передбачених на оплату праці і преміювання.
Позитивну роль відігравало преміювання за перевиконання завдань з виробництва продукції, підвищення урожайності сільськогосподарських культур проти рівня, досягнутого за попередні 3-5 років, збільшення виробництва кормів, виконання і перевиконання виробничих завдань, передбачених договором, підвищення якості продукції та інших показників роботи залежно від галузі, спеціалізації, характеру й умов виробництва.
Оцінюючи різні варіанти остаточного розрахунку наприкінці року, слід зауважити, що за ринкових умов доцільніше використовувати оплату праці від валового доходу, адже така система дозволить певною мірою співвіднести витрати та доходи виробничих підрозділів. Водночас акордно-преміальна система оплати праці може використовуватись у господарствах, які знаходяться на шляху до розпаювання власності.
Як уже зазначалось, складовою частиною остаточного розрахунку наприкінці року є участь безпосередніх працівників у прибутку. Суть участі в прибутку в тому, що окрема наперед визначена частина чистого прибутку розподіляється між членами трудового колективу залежно від певних показників. У практиці виробничої діяльності розвинутих країн на ці цілі виділяється та частина прибутку, яка була досягнута за рахунок підвищення продуктивності праці, поліпшення якості продукції тощо. Крім того, частина власності підприємства приватизується акціонуванням та відповідним нарахуванням дивідендів.
У реформованих господарствах участь виробників у прибутку доцільно здійснювати так. По-перше, сільські трудівники, члени господарств отримали внаслідок паювань відповідний пай на власність, розмір якого залежить від трудової участі працівників за певний період. Цілком зрозуміло, що на такий пай конкретний член господарства повинен отримувати відповідний дивіденд на власність. По-друге, приріст прибутку, отриманого за рахунок поліпшення виробничої діяльності, розподіляється між безпосередніми виробниками.
Доцільним також є досвід застосування в окремих сільськогосподарських підприємствах Вінницької області, де додатково отриманий прибуток спрямовують на відтворення й поповнення основних засобів виробництва. Надалі у фонд кожного члена підприємства щорічно відраховується у вигляді паїв частина приросту основних засобів за рахунок приросту прибутку власних коштів та дивідендів на грошові й земельні паї згідно з прийнятими положеннями.
Стимулювання підвищення кваліфікації
Особам, яким присвоєно І клас кваліфікації тракториста і звання “Майстер зрошення І класу”, “Майстер рослинництва І класу”, провадиться доплата до заробітку в розмірі 20 відсотків, а особам, яким присвоєно II клас кваліфікації тракториста-машиніста і звання “Майстер зрошення ІІ класу”, “Майстер рослинництва II класу”, - 10 відсотків.
Стимулювання своєчасного та якісного збирання урожаю і заготівлі кормів
Враховуючи особливо важливе значення проведення збирання врожаю, в господарствах, як правило, встановлюються підвищені розцінки з оплати праці для працівників, зайнятих на цих роботах. Найпоширенішим є традиційний порядок, при якому розцінки трактористам-машиністам збільшуються до 60 відсотків, а всім іншим працівникам, зайнятим на збиранні врожаю, -до 15 відсотків.
Оплату праці працівників збирально-транспортних комплексів (загонів) на збиранні врожаю провадять залежно від фактичного заробітку трактористів-машиністів, які працюють на комбайнах та інших збиральних агрегатах (без урахування надбавки за класність).
Оплату праці водіїв автомобілів, які обслуговують збиральні агрегати, провадять у розмірі до 80 відсотків, начальників комплексів загонів - до 120 відсотків, а їх помічників - до 80-100 відсотків середнього заробітку трактористів-машиністів, які працюють на збиральних агрегатах.
Додаткове стимулювання виробництва окремих сільськогосподарських культур
Традиційно склалося, що поряд з впровадженням акордно- преміальної системи оплати праці в сільськогосподарських підприємствах України набула поширення дещо інша форма матеріального заохочення - додаткове стимулювання виробництва окремих сільськогосподарських культур.
Перевірені досвідом, економічно обґрунтовані й узагальнені умови такого стимулювання в попередніх виданнях рекомендацій пропонувались господарствам централізовано.
За останні роки обставини кардинально змінилися: ціни на продукцію стали договірними (ринковими) при їх великій строкатості як у динаміці, так і за регіонами. Ще більша строкатість у розмірах .тарифних ставок серед господарств внаслідок їх фінансового становища.
При економічній доцільності кожного з цих видів стимулювання, практично незмінній технології виробництва і якщо в господарстві дотримуються встановлених галузевою угодою на плановий рік розмірів мінімальних тарифних ставок, розмір кожного із стимулів можна легко встановити через коефіцієнт співвідношення денної тарифної ставки і розряду відповідної категорії працівників до аналогічної тарифної ставки в базовому році. Аналогічний перерахунок слід провести і з цінами реалізації.
Особливості оплати праці трактористів-машиністів
Оплата праці трактористів-машиністів має ряд особливостей, частина яких притаманна, зокрема, цій професії, а частина залежить від прийнятої в господарстві системи оплати праці, включаючи матеріальне стимулювання.
Надбавка за класність. Трактористам-машиністам залежно від їх знань і досвіду роботи присвоюється І, II і III класи кваліфікації згідно з Положенням про атестацію трактористів-машиністів.
Надбавку за класність виплачують до заробітку на механізованих роботах, які оплачуються за тарифними ставками трактористів- машиністів: І класу - 20 відсотків, II класу - 10 відсотків.
У заробіток, на який трактористам-машиністам нараховують надбавку за класність, включають підвищену оплату на збиранні врожаю, доплати за шкідливість на роботах із захисту рослин, за суміщення робіт в агрегаті і старшому трактористу-машиністу при двозмінній роботі.
Надбавка за стаж роботи. Трактористам-машиністам (у тому числі тим, що працюють бригадирами і помічниками бригадирів тракторних, тракторно-рільничих і комплексних бригад, начальниками загонів, що мають у своєму розпорядженні техніку), а також майстрам- налагоджувальникам встановлюють надбавку за безперервний стаж роботи за спеціальність в даному господарстві у таких розмірах від річного заробітку: від 2 до 5 років - 8; від 5 до 10 років - 10; від 10 до 15 років - 13; понад 15 років - 16.
Надбавку за стаж роботи нараховують на весь заробіток машиніста.
Стимулювання за продовження строків служби техніки
Для стимулювання трактористів-машиністів за подовження строків служби тракторів і комбайнів їм видають надбавку за безперервну роботу на одному і тому ж тракторі або комбайні з урахуванням строків тривалості експлуатації машин у таких розмірах за кожний напрацьований еталонний гектар або нормо-зміну.
Надбавку видають на третій календарний рік роботи і більше, але за умови, що в тракториста-машиніста не було перерви в роботі на одному й тому ж тракторі, комбайні.
Підвищена оплата на збиранні врожаю. Дня проведення збирання врожаю в оптимальні строки і без втрат на період перших днів масового збирання (рекомендується не більше, ніж на 10 днів) працю трактористів-машиністів, які виконують змінні норми виробітку, оплачують за розцінками, збільшеними:
- на збиранні зернових, зернобобових, кукурудзи на зерно і силос, маточних цукрових буряків, соняшнику, картоплі, насінників трав і цукрових буряків, льону-довгунця і заготівлі кормів у період їх масового збирання за умови заготівлі кормів І і ІІ класу - на 60 відсотків;
- на збиранні інших культур і заготівлі кормів нижче II класу - на 30 відсотків;
- при невиконанні змінних норм виробітку в зазначений період, а також у
решту днів збирання врожаю (понад перші 10 днів), але на обмежений період, на
збиранні зернових, зернобобових культур, кукурудзи на зерно і силос, маточних
цукрових буряків, соняшнику, картоплі, насінників трав і цукрових буряків,
льону-довгунцю і заготівлі кормів І і II класу - за розцінками, збільшеними на
30 відсотків, а зайнятим на збиранні інших культур і заготівлі кормів нижче II
класу - за розцінками, збільшеними на 15 відсотків.
Стимулювання механізаторів за зменшення втрат і підвищення якості збирання врожаю. Трактористам-машиністам (комбайнерам), що намолотили зерна з гектара не менше, ніж установлено контрольним обмолотом, провадять доплату за останній зібраний на кожному гектарі центнер зерна.
Конкретні показники урожайності (на підставі актів контрольної і фактичної урожайності) й розміри доплати встановлюються в кожному господарстві з урахуванням економічних можливостей та інших умов.
Стимулювання за економію коштів на ремонті тракторів, комбайнів і сільськогосподарських машин. За збереження і добре використання тракторів і сільськогосподарських машин виплачують премію (після закінчення ремонту тракторів і сільськогосподарських машин) у розмірі:
- трактористам до 40 відсотків;
- бригадирам, їх помічникам і майстрам-налагоджувальникам - до 10 відсотків суми економії коштів, передбачених нормами на ремонт тракторів і сільськогосподарських машин, за умови виконання ними встановленого річного обсягу робіт на закріплених машинах.
Зазначену премію можна виплачувати після закінчення міжремонтного терміну
роботи тракторів і сільськогосподарських машин, якщо є можливість визначити
технічну справність, і за умови, що ця справність підтверджується відповідним
документом. При експлуатації нових тракторів і машин зазначені виплати в перші
два роки провадять у половинному розмірі, а при експлуатації тракторів і машин,
амортизованих більш як на 80 відсотків, - у півтораразовому розмірі.
Стимулювання за економію палива і мастильних матеріалів. За економію палива і мастильних матеріалів проти встановлених норм витрат за умови дотримання агротехнічних вимог до якості тракторних робіт механізаторам виплачувались премії в таких розмірах:
- трактористу-машиністу до 70 відсотків вартості зекономленого ним палива і мастильних матеріалів;
- бригадиру тракторно-рільничої (тракторної, комплексної) бригади до 7
відсотків.
За перевитрату палива і мастильних матеріалів з тракториста- машиніста утримувалось до 50 відсотків вартості перевитрачених ним палива і мастильних матеріалів, з бригадира тракторно-рільничої (тракторної, комплексної) бригади до 10.
Виплату премій за економію палива і мастильних матеріалів та утримання із заробітку за їх перевитрату провадять після закінчення кожного кварталу.
Порядок і розміри видачі зерна. З метою підвищення матеріальної заінтересованості трактористів-машиністів встановлюють продаж зерна з натурального фонду при виконанні завдання з урожайності зернових культур.
Розміри продажу зерна визначаються в кожному господарстві з урахуванням економічних можливостей.
8.3. Оплата праці у тваринництві
У сільськогосподарських підприємствах для оплати праці в тваринництві застосовують дві основні форми оплати - відрядну і погодинну. При відрядній формі оплату праці провадять за кількість продукції відповідної якості або обсяг виконаної роботи, при погодинній - за фактично відпрацьований час.
Оплата праці тваринників при відрядній формі здійснюється за розцінками за центнер (одиницю) виробленої (реалізованої) продукції, за вартість її в грошовому виразі або за одиницю валового доходу.
Форми організації виробництва на конкретному підприємстві та в кожному виробничому підрозділі слугують основою для визначення відповідного їм колективного чи індивідуального стимулювання праці. Вибір форм організації та оплати праці визначається також особливостями технології виробництва, кадровим забезпеченням тваринників, бажанням їх працювати колективно чи індивідуально.
Необхідною умовою ефективного стимулювання працівників ферм є розробка норм виробітку (обслуговування) і розцінок за продукцію за участю спеціалістів тваринництва, керівників виробничих підрозділів і тваринників, виходячи з типових норм та з урахуванням умов господарства. Норми і розцінки затверджуються адміністрацією (правлінням) підприємства.
Розцінки за продукцію виробничим підрозділам визначаються на підставі норми виробництва продукції та акордного фонду оплати праці (тарифний фонд плюс доплата за продукцію).
Норма виробництва продукції бригаді, ланці або окремому працівникові встановлюється виходячи з реальної планової продуктивності худоби чи птиці на рік визначення розцінок з урахуванням досягнутого рівня продуктивності за попередні три роки і прийнятих у господарстві технічно обгрунтованих норм обслуговування поголів’я.
Тарифний фонд оплати для розрахунку розцінок за продукцію визначають на підставі нормативної чисельності працівників, розрахованої за нормами обслуговування, професійного складу тваринників і відповідних тарифних ставок.
Крім того, в тарифний фонд оплати праці бригад, ланок для розрахунку розцінок за продукцію включають оплату праці бригадира, його помічника, а також за згодою колективу до складу бригади, ланки можуть бути включені працівники, що виконують допоміжні роботи в технологічному процесі виробництва продукції (слюсарі, майстри- налагоджувальники, електромонтери, водії автомобілів, працівники кормоцехів, візники та ін.), чисельність яких визначають згідно з нормативами, а оплату їх праці - за відповідними тарифними ставками (окладами).
При розрахунку розцінок за продукцію фонд оплати ділять на кількість одиниць відповідних видів продукції залежно від основного призначення галузі, питомої ваги кожного виду .продукції, строків виробництва та затрат праці на їх виробництво. Наприклад, у молочному тваринництві прийнято близько 90 відсотків річного фонду оплати відносити на оплату за молоко, а решту - на телят.
За багаторічним досвідом визначення розцінок за одиницю продукції в натуральному виразі тарифний і акордний фонди оплати праці визначаються для кожної категорії працівників і розподіляються у відсотках так:
- на фермах великої рогатої худоби (молочне стадо) - за молоко - 90, приплід - 10; родильне відділення - за молоко - 70, приплід — 10, роздоювання корів - 20; на обслуговування худоби на дорощуванні, нагулі й відгодівлі - за приріст живої маси - 100; на догляді за бугаями - за догляд - 60, парування корів і телиць - 40 або за догляд 100 відсотків тарифного фонду; на догляді за телицями парувального віку за приріст живої маси залежно від вимог стандарту за розвитком І класу - 50, за парування телиць - 50; на обслуговуванні нетелей у першу половину тільності за приріст живої маси - 100; з другої половини тільності за догляд - 100 відсотків тарифного фонду;
- на свинарських фермах - на догляді за підсисними свиноматками з поросятами до двомісячного віку за приплід - 40 та за приріст живої маси поросят - 60; на догляді за молодняком старше двомісячного віку та за відгодівельним поголів’ям за приріст живої маси - 100; на догляді за холостими і поросними свиноматками - за парування - 100 або за догляд - 50 та парування - 50; на догляді за кнурами: за догляд - 60, за парування свиноматок після виявлення поросності - 40 або за догляд - 100% тарифного фонду;
- на вівчарських фермах - за обслуговування маточного поголів’я - за приплід ~ 40, вовну - 60; на догляді баранів-плідників і валахів - за вовну - 100; на догляді за іншими статево-віковими групами - за вовну - 60 та за приріст живої маси - 40;
- на птахівницьких фермах - за обслуговування маточного поголів’я - за яйця
- 100; на обслуговуванні молодняка - за приріст живої маси - 100.
Підмінним працівникам у тваринництві виплачується 100 відсотків, а постійним підмінним операторам (доярам і свинарям), які обслуговують маточне поголів’я - 110 відсотків середнього заробітку працівників, яких вони підміняють, або встановлених розцінок.
У тих випадках, коли не з вини працівника надходження продукції в даному місяці зменшується до розмірів, за яких заробіток становить менше відрядної тарифної ставки, йому виплачується 100 відсотків відрядної тарифної ставки за відпрацьовані в цьому місяці дні.
Праця тваринників, які обслуговують худобу на відгінних пасовищах, оплачується за тарифними ставками, підвищеними на 40 відостків.
У тваринництві найдоцільнішою системою оплати праці є акордно-преміальна система, яка передбачає оплату праці за такими двома показниками:
- обсяг виконаних робіт, за що виплачується аванс розміром прийнятих у господарстві тарифних ставок і кваліфікаційних розрядів з урахуванням надбавок за класність, звання “Майстер”, якість виконаних робіт, шкідливість робіт та ін., що передбачено в положенні з оплати праці в господарстві;
- кількість і якість отриманої продукції з доплатою до авансу 25-50
відсотків за умов отримання кількості та якості продукції згідно з прийнятими
нормативами (договорами).
Працюючим агрофірми на пільгових умовах згідно з досягнутими результатами протягом року видається молоко, м’ясо, зерно, овочі, баштанні, олія, поросята та інша продукція.
Розмір авансу встановлюється диференційовано за категоріями працівників, виходячи з тарифних ставок та розрядів робіт, прийнятих у господарстві. Тобто, встановлення авансу для виконавців складніший і важких робіт здійснюється за вищими V-VІ розрядами, менше складні й легші роботи тарифікуються ІІІ- IV розрядами.
Розрахунок розцінок для оплати праці та розрахункових цін за продукцію
Розцінки за продукцію можна встановлювати стабільними на декілька років, єдиними на рік або диференційованими за періодами року. Це зумовлено нерівномірною продуктивністю тварин і птиці як за роками, так і протягом року. Тому у скотарстві виділяють зимовий та літній періоди. При цьому традиційним вважається визначення тривалості літнього періоду з 15 травня до 15 жовтня - 5 місяців. Тоді тарифна оплата літнього періоду дорівнюватиме денній тарифній ставці, помноженій на 153, а зимового періоду - на 212 чи 213 днів.
Розцінки за продукцію для оплати праці розраховують у такій послідовності:
- уточнюють норму обслуговування тварин залежно від системи утримання та механізації виробничих процесів;
- обчислюють річну продуктивність залежно від кормозабез- печеності та породного складу тварин;
- розраховують вихід продукції від закріпленої за робітником (робітниками) групи тварин;
- встановлюють розряди робіт, за якими тарифікуються робітники (доярки, тваринники, механізатори і т.д.);
- обчислюють тарифний фонд заробітної плати діленням суми денних тарифних ставок робітників на нормативну, відпрацьованих днів за рік, період;
- визначають коефіцієнт збільшення тарифного фонду оплати праці - 1,25... 1,50 (чим вища продуктивність, тим вищий коефіцієнт). Розрахунок здійснюють за формулою

де Ро - розцінка оплати праці за одиницю продукції, кг, ц, шт.;
Тф - денна тарифна ставка робітника (сума денних тарифних ставок робітників), грн.;
Д - кількість днів у періоді, на який розраховується розцінка, рік, півріччя, зимовий чи літній період;
К - коефіцієнт збільшення тарифного фонду оплати праці;
ґ - коефіцієнт розподілу фонду оплати праці на окремі види продукції: молоко і приплід; вовна, приріст живої маси, приплід; мед, віск, рої та ін.;
В - вихід продукції, кг, ц, шт.
Стимулювання за підвищення кваліфікації і стаж роботи
За досягнення високих показників атестаційна комісія підприємства присвоює звання „Майстер тваринництва” І-ІІ класу з надбавкою до основного заробітку відповідно 10-20 відсотків.
За безперервний стаж роботи з інтервалом від 3 до 15 років і більше виплачується надбавка від 8 до 16 відсотків річного заробітку.
8.4. Оплата праці працівників обслуговуючих підрозділів
Оплату праці працівників обслуговуючих підрозділів, зайнятих на ремонті техніки, перевезенні вантажів, будівництві, при переході до ринкових відносин господарювання слід здійснювати за такими ж принципами, що й у виробничих підрозділах, пов’язуючи їх працю з кінцевими результатами роботи. При цьому важливо визначити частку кожного підрозділу в загальному фонді оплати праці підприємства, що дає змогу контролювати хід надання послуг цими підрозділами та зіставляти витрачання оплати за одиницю послуг з нормативними показниками. Щомісячна заробітна плата працівників зазначених підрозділів як і інших виступає у формі авансу в рахунок визначеного акордного фонду оплати праці.
Оплата праці в ремонтних майстернях
В оплаті праці працівників, зайнятих на роботах з ремонту і обслуговування техніки, сільськогосподарських машин, устаткування тваринницьких ферм тощо в ремонтно-механічних майстернях, найбільшого поширення набули дві системи - відрядно-преміальна і погодинно-преміальна.
Працівникам, які зайняті на ремонтних роботах, присвоюють кваліфікаційні розряди згідно з тарифно-кваліфікаційним довідником для робітників ремонтних майстерень. Присвоєння працівникові кваліфікаційного розряду або його підвищення здійснюється з урахуванням тарифікації робіт, на яких зайнятий працівник.
Оплата праці водіїв автомобілів
Оплата праці водіїв вантажних автомобілів у сільськогосподарських формуваннях здійснюється згідно з відрядною системою за обсяг виконаних перевезень або за розцінками оплати за надані послуги за умов орендно-договірних відносин.
Погодинну оплату праці застосовують при неможливості враховувати вагу вантажів: перевезення людей, садивного матеріалу, тари тощо. Працю цієї категорії працівників, включаючи й тих, яким встановлений ненормований робочий день, оплачують по місячних тарифних ставках, які визначаються множенням годинної тарифної ставки на середньомісячну норму робочого часу, а при не повному робочому місяці - по денних тарифних ставках, що визначаються діленням місячної ставки на кількість робочих днів, передбачених графіком роботи на даний місяць.
Оплата часу простою не з вини працівника проводиться з розрахунку не нижче від двох третин тарифної ставки встановленого працівникові розряду (окладу).
При відрядній системі оплати праці за обсяг перевезень водіям оплачують залежно від групи автомобілів за вантажопідйомністю і категорії вантажів, що перевозяться. Розцінки встановлюються за одну тонну перевезеного вантажу (з урахуванням затрат часу на вантажно- розвантажувальні роботи) і за один тонно-кілометр: Тарифні ставки встановлюються підприємством на основі Галузевої угоди між Державним департаментом автомобільного транспорту і профспілкою працівників автомобільного транспорту та шляхового господарства України по галузі автомобільного транспорту для водіїв III класу, що працюють на вантажних автомобілях (включаючи спеціалізовані). Водіям І та II класів нараховують надбавку в розмірі відповідно 25 і 10 відсотків тарифної ставки за відпрацьований як водій - час.
Єдині норми часу в хвилинах і відрядні розцінки в копійках встановлюються для вантажів І класу. Для вантажів II, III і IV класів застосовують поправочні коефіцієнти відповідно 1,25, 1,66 і 2, які розраховують виходячи із середнього коефіцієнта використання вантажопідйомності автомобіля.
Єдині норми часу на перевезення вантажів автомобільним транспортом відрядні розцінки для оплати праці водіїв включають норми часу та відрядні розцінки за час простою транспорту під навантажуванням і розвантажуванням на одну тонну вантажу та норми часу і відрядні розцінки на один тонно-кілометр.
Надбавка за класність під час оплати по тарифних ставках ремонтників водіям не виплачується і доплата за ненормований робочий день не проводиться.
Крім надбавки за класність водіям нараховують й інші надбавки та доплати.
Преміювання водіїв здійснюють за рахунок коштів збільшення тарифного фонду оплати праці на середній коефіцієнт прибутковості, по господарству за такі показники:
- виконання й перевиконання змінного, денного, місячного завдання при якісному та своєчасному перевезенні вантажів;
- поліпшення експлуатаційних показників (коефіцієнтів використання автомобіля, пробігу, вантажопідйомності);
- економію експлуатаційних ресурсів (паливо, гума, технічні огляди,
обслуговування, ремонт).
Розміри преміювання, що визначаються у межах акордного фонду оплати праці і за рахунок додаткової оплати споживачів автопослуг за якісне та своєчасне перевезення вантажів, нараховуються пропорційно до основної заробітної плати.
Для водіїв автобусів, легкових автомобілів службового користування, водіїв мотоциклів і моторолерів встановлюється, як правило, погодинна та погодинно-преміальна системи оплати праці.
Оплата праці в будівельних і ремонтних підрозділах
Оплата праці працівників, зайнятих на роботах у будівництві та на капітальному ремонті виробничих і житлово-побутових приміщень, що виконуються господарським способом, залежно від конкретних умов і терміновості завершення робіт провадиться відрядно, погодинно та акордно, виходячи з єдиних норм та за тарифними ставками, прийнятими в господарстві.
Тарифні ставки є основою для визначення відрядних розцінок, які обчислюються множенням годинної тарифної ставки (відповідного розряду робіт) на встановлену норму часу в людино-годинах (при відрядній оплаті праці). При погодинній оплаті розмір заробітної плати працівника визначається множенням тарифної ставки присвоєного працівнику розряду на фактично відпрацьований ним час.
У конкретному господарстві на кожний рік визначається розмір тарифних ставок працівників, зайнятих, на роботах у будівництві, одночасно з прийняттям Положення про оплату праці працівників господарства, яке затверджується керівником підприємства або загальними зборами колективу та погоджується з профспілковим комітетом.
Прийняті в господарстві тарифні ставки застосовують для оплати праці будівельників як на відрядних, так і на погодинних роботах, зокрема по монтуванню збірних залізобетонних, бетонних, цегляних і дерев’яних конструкцій будівель і споруд, а також по виготовленню напівфабрикатів і деталей до них, обладнанню водопроводу, опалення, каналізації, по проведенню покрівельних, штукатурних, облицювальних, малярних, оббивних, склярських та ізоляційних робіт, по монтуванню машин, устаткування на тваринницьких фермах, на земляних і дорожніх роботах, на роботах по будівництву дорожніх мостів. За такими ж тарифними ставками будівельників оплачується праця членів будівельних бригад і ланок, які поряд з новим будівництвом і капітальним ремонтом будівель та споруд виконують роботи поточного ремонту.
Розподіл коштів з фонду економічного стимулювання між виробничими підрозділами і службами здійснюється множенням тарифного фонду оплати праці на 45,4 коп.
Ця сума по кожному виробничому підрозділу залежить від результатів його господарської діяльності. Чистий дохід (прибуток) по виробничих підрозділах, оскільки його визначають без відрахування загальновиробничих витрат, вважається умовним.
ПЕРЕГЛЯНУТИ
СЛАЙДИ ПРЕЗЕНТАЦІЇ
Контрольні питання:
- Види, форми і системи оплати праці в сільськогосподарських підприємствах.
- Суть відрядної і погодинної форм оплати праці та їх системи.
- Особливості оплати праці в рослинництві.
- Додаткова оплата праці і преміювання працівників рослинництва.
- Оплата праці трактористів-машиністів.
- Суть акордно-преміальної оплати праці в тваринництві.
- Стимулювання оплати праці з урахуванням кваліфікації і стажу роботи працівників.
- Методика розрахунку розцінок за одиницю продукції.
- Порядок розрахунку за кінцеві результати за акордно- преміальною системою оплати.
- Суть і переваги оплати праці від валового доходу.
- Оплата праці працівників обслуговуючих підрозділів.
- Існуючі системи оплати праці керівників і спеціалістів сільськогосподарських підприємствах.



